
三分钟带你走进支持向量机
支持向量机这个算法已经问世很多年了,到现在为止,它的理论和数学推导都已经比较完善,SVM背后伟大的数学理论基础可以说是人类的伟大数学成就,因此SVM的解释性也非神经网络可比。可以说,它的数学理论让它充满了理性,这样的理性是让人向往的。
这就好像,你渴望知道食物的来源以确定食物是否有毒,如果有毒的话,是什么毒,这样的毒会在人体内发生了什么反应以至于让你不适 —— 我的理性驱使我这么想,一个来路不明的食物是不能让我轻易接受的。

支持向量机是一种二分类模型,它的目的是寻找一个超平面来对样本进行分割,分割的原则是间隔最大化,最终转化为一个凸二次规划问题来求解。简而言之,SVM就是要在两类数据点中寻找一个超平面,使得两类数据点中距离最近的点之间的距离最远。


俗话说以练代学,我们先来看看它如何使用。

如上图👆所示,短短几行代码,就可以调用Python sklearn中的SVM模型,使用它预测数据了。那么,我们为什么还要花时间了解它背后的数学原理呢?
首先,如果想进行SVM的理论研究,完善已经开源的代码的话,了解其背后的数学原理是必不可少的。
其次,即使单纯在工业界应用SVM来解决分类或者回归问题,也需要了解模型的推导过程,以及这个模型中每个参数的意义,才能在初步建模之后的调参过程中,达到自己想要的效果。
然后我们基于Python中自带的iris dataset进行一个简单的case study,让大家看一下SVM的实现效果以及调参过程。

SVM的模型中,有三个参数比较重要,分别是kernel, c和gamma,其中gamma是rbf kernel 特有的参数。
Kernel,也就是核函数,决定了SVM的分类方式。常用的kernel有linear kernel, polynomial kernel和rbf kernel。下图就是我们使用linear kernel的分析结果,得到了线性的分界线。下图就是我们使用rbf kernel得到的结果,是一个曲线的分界, polynomial同样也是如此。

之前提过,gamma是rbf kernel很重要的一个参数,我们就来看一下不同的gamma条件下得到的结果有什么区别。

很明显,gamma越小,得到的超平面越平滑,分类越不彻底,越容易underfitting; gamma越大,得到的超平面越凹凸不平,像缩水一样逐渐收缩,分类对training set的依赖性越强,越容易overfitting。

参数C,也就是松弛向量,是每个SVM的模型都有的一个参数,其效果和gamma有异曲同工之妙。随C值的由小到大,函数会变得越来越复杂,越来越收敛,会局限到某一个区间内。换句话说,当C值越大的时候,模型会更看重对噪音点的判别(如图鼠标所指的地方),更容易overfitting。而当C值越小,对噪音的容忍度就越高,有可能underfitting。

说了这么多,SVM到底是如何实现的呢?

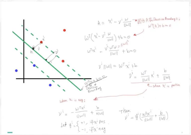
这就是SVM问题的基本型。
可能有同学会问,如果原始样本不存在一个能正确划分出两类样本的超平面,怎么办呢?
于是引入了一个新的概念:核函数。它可以将样本从原始空间映射到一个更高维的特质空间中,使得样本在这个新的高维空间中可以被线性划分为两类,即在空间内线性划分。这个过程可以观看视频感受感受:https://www.youtube.com/watch?v=3liCbRZPrZA